| Journal of Endocrinology and Metabolism, ISSN 1923-2861 print, 1923-287X online, Open Access |
| Article copyright, the authors; Journal compilation copyright, J Endocrinol Metab and Elmer Press Inc |
| Journal website http://www.jofem.org |
Original Article
Volume 4, Number 4, August 2014, pages 89-92
Effects of Metformin Alone or in Combination With Insulin on Bone MineralDensity in Osteopenic Patients With Type 2 Diabetes
Omodele Awoniyia, d, Spencer Connerb, Solomon Solomonc
aDivision of Endocrinology and Metabolism, Department of Medicine, University of Tennessee Health Science Center, Memphis, TN, USA
bDepartment of Medicine and Research, University of Tennessee Health Science Center, Memphis, TN, USA
cDivision of Endocrinology and Metabolism, Department of Medicine and Research, Veterans Administration Medical Center and University of Tennessee Health Science Center, Memphis, TN, USA
dCorresponding Author: Omodele Awoniyi, Division of Endocrinology, Department of Medicine, University of Tennessee Health Science Center, 920 Madison Avenue, Suite 300A, Memphis, TN 38163, USA
Manuscript accepted for publication August 27, 2014
Short title: Effects of Metformin and Insulin on Bone
doi: https://doi.org/10.14740/jem234w
| Abstract | ▴Top |
Background: Patients with diabetes are at risk for osteoporotic fractures. We propose to test the hypothesis that treatment of diabetes mellitus with metformin alone or in combination with insulin affects bone mineral density (BMD) in a positive way possibly via the Wnt/β-catenin pathway.
Methods: We retrospectively reviewed records of veterans at the Memphis Veterans Administration MedicalCenter (VAMC) with type 2 diabetes on treatment with metformin alone or in combination with insulin found to have osteopenia by dual-energy X-ray absorptiometry (DXA) between 2002 and 2013. Change in BMD over time was compared with age, race and sex matched controls.
Results: Of 1,662 patients with DXA scans, we had two study groups (13 patients on metformin and insulin; 20 on metformin alone). These patients were compared to age, race and sex matched controls not on metformin, insulin or thiazolidinediones (TZDs). On follow-up (1 - 6 years) of both study groups, there was no statistical difference in average BMD over time compared to controls (P = 0.172 in combination group, P = 0.747 in metformin alone group). However, there was improvement in BMD over time at the right and left femoral neck in the metformin alone group compared to control (left femur P = 0.130; right femur P = 0.017).
Conclusions: In this retrospective study, there was a trend towards improvement in BMD in osteopenic patients with type 2 diabetes treated with metformin. The exact mechanism by which metformin exerts positive effects on bone is yet to be fully elucidated. We propose that metformin may promote bone formation by decreasing sclerostin levels, an inhibitor of the Wnt/β-catenin pathway. Overall, we surmise that the osteo-anabolic effect of metformin on BMD still needs to be further studied in a larger prospective study.
Keywords: Type 2 diabetes mellitus; Osteopenia; Bone mineral density; Metformin; Insulin; Wnt; T-score; Fracture
| Introduction | ▴Top |
The incidences of diabetes mellitus and osteoporosis are on the rise globally [1]. It has been increasingly recognized that diabetes adversely affects bone health. According to two meta-analyses, type 2 diabetes patients tend to have normal or slightly higher bone mineral density (BMD) values [2]. However, the incidence of fracture is higher in patients with type 2 diabetes despite frequently reported normal or increased BMD [3]. The increased fracture risk is thought to be related to low bone strength. Bone strength is determined by the integration of both bone mass and bone quality [4]. Since bone mass is thought to be increased in type 2 diabetes, low bone quality is likely to play a larger role in the increased risk of fractures.
Several factors have been suggested to contribute to low bone quality in patients with diabetes. Long-term metabolic effects of hyperglycemia may result in poor bone quality [4]. Hyperglycemia compromises mesenchymal stem cell differentiation resulting in decreased bone formation. Hyperglycemia increases oxidative stress via proinflammatory cytokines such as TNF-α and INF-γ, which may induce apoptosis of osteoblasts. Additionally hyperglycemia increases advanced glycosylated end products (AGEs) further causing deleterious effects on bone [5].
In recent years, it has been proposed that Wnts, a large family of glycoproteins play a major role in regulation of bone mass [6]. Signaling through the Wnt/β-catenin pathway increases bone mass through promotion of mesenchymal stem cell differentiation into osteoblasts as opposed to adipocytes. It also suppresses osteoclastogenesis and inhibits osteoblast apoptosis [7]. Lastly β-catenin decreases bone resorption by increasing osteoprotegerin, a potent inhibitor of osteoclast differentiation [7]. Therefore, it has been surmised that inhibition of Wnt signaling will have deleterious effects on bone. In fact sclerostin a potent Wnt/β-catenin inhibitor is increased in patients with type 2 diabetes and may contribute to decreased bone mass [8].
In one study comparing the effects of pioglitazone to metformin on sclerostin levels, pioglitazone was associated with increased fractures and higher levels of sclerostin compared to metformin. Therefore, metformin by decreasing sclerostin levels may promote bone formation via the Wnt/β-catenin pathway [9]. Metformin has also been described to have other beneficial effects on bone. In bilateral ovariectomized rats, metformin was shown to improve bone mass and quality [10]. Metformin also protects osteoblasts from the deleterious effects of hyperglycemia and AGEs [11]. Furthermore, it stimulates osteoprotegerin, which prevents osteoclast activity [12].
The presence of decreased bone density in patients with type 1 diabetes has led to the hypothesis that insulin has anabolic effects on bone [3]. In vivo and in vitro studies suggest that insulin improves bone formation via proosteoblastic mechanisms. Animal studies show that insulin receptor substrates (IRS) are essential for insulin/IGF-1 receptor signaling. Mice lacking the IRS-1 gene showed severe osteopenia with reductions in osteoblast and osteoclast function resulting in decreased bone turnover [13]. A prospective study on BMD in patients with type 1 diabetes, showed that intensive insulin therapy for 7 years resulted in stabilization of BMD at all sites [14]. These findings suggest that insulin as an anabolic agent, can preserve and increase bone strength through its effects on bone formation [3].
Given that insulin and metformin have positive effects on bone independently, we postulated that metformin alone or in combination with insulin would likely improve BMD in osteopenic patients with type 2 diabetes.
Primary outcome
The primary outcome measure was improvement in BMD (as measured by T-score) at the lumbar spine and at the left and right femoral necks.
| Materials and Methods | ▴Top |
We conducted a retrospective review of the computerized patient record system (CPRS) at the Memphis Veterans Administration Medical Center (VAMC). We included patients with type 2 diabetes on metformin alone or in combination with insulin diagnosed with osteopenia according to the World Health Organization (WHO) criteria by dual-energy X ray absorptiometry (DXA) at baseline, and with a follow-up DXA scan for comparison. We excluded patients on prior or current treatment with medications that can improve BMD such as bisphosphonates, denosamab or teriparatide. We also excluded patients on TZDs or other antidiabetic agents besides insulin and metformin. Lastly, we excluded patients with type 1 diabetes, fractures or osteoporosis or no follow-up DXA scan. The study was approved by the institutional review board at the Memphis VAMC.
Statistical analysis
Standardized data collection was obtained using the computerized medical records at the VAMC. Osteopenia was defined according to WHO criteria as a BMD between 1 and 2.5 standard deviations (SD) below that of the young adult mean (i.e. T-score between -1 and -2.5). Osteoporosis was defined by the WHO criteria as a BMD ≥2.5 SD below that of the young adult mean (i.e. T-score of ≤ -2.5). Improvement in BMD was defined as a less negative or more positive T-score. Variables between groups were compared using t-tests. Estimated marginal means was used to assess for change in BMD over time comparing baseline BMD to follow-up. Multi-regression analysis was used to control for confounding variables. P-value < 0.05 was considered statistically significant and confidence intervals were reported to reflect goodness of fit. These analyses were done using SPSS.
| Results | ▴Top |
About 1,662 patients were found to have DXA scans; however, only 13 patients were included in the metformin and insulin combination study group. The mean age was 59.7 ± 7.2 with a mean body mass index of 31.6 ± 4.6 kg/m2. Of the 13 patients, 23.1% were female; 7.7% Asian, 15.4% African American and 76.9% were Caucasian. These patients were age, race and sex matched with a control group of osteopenic patients with type 2 diabetes on other antidiabetic agents besides insulin, metformin or TZDs. On follow-up (1 - 6 years), there was no statistically significant difference in average BMD in the study group over time (P = 0.172) compared to the control group. Comparison of HbA1C values demonstrated significantly higher values in the combination study group (7.81 ± 1.45) than the control (5.89 ± 0.71) groups (P < 0.01).
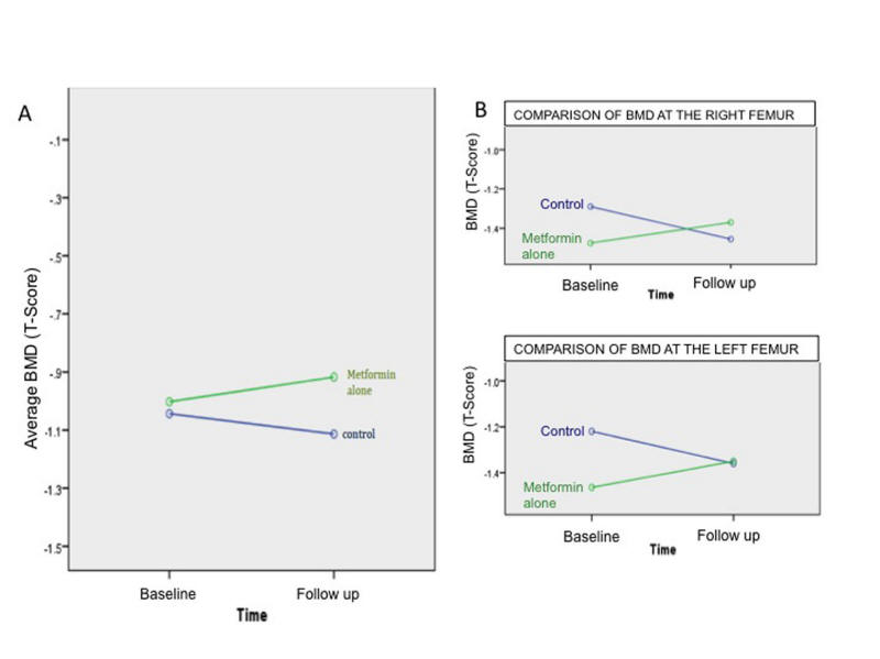
We also compared 20 osteopenic patients with type 2 diabetes on metformin alone to age, race and sex matched patients with DXA scans at baseline and at follow-up. At baseline, the metformin group had a mean age of 61.8 ± 8.1, 30% were African American and 15% were female, and the rest were Caucasian males. In this group we found that on average the BMD did not change over time (P = 0.747); however, there was improvement in the BMD at the right and left femoral necks (right femur P = 0.017, left femur P = 0.130) (Fig. 1).
Click for large image | Figure 1. Assessment of the change in BMD over time in patients with type 2 diabetes on metformin alone compared to control. (A) Overall average BMD was not significantly different over time in the metformin alone versus control group (P = 0.747). (B) Comparison of BMD at the right and left femur shows improvement in the metformin alone group compared to control over time (right femur P = 0.017, left femur P = 0.130). |
| Discussion | ▴Top |
In a retrospective chart review in the Memphis VAMC, our data show that we are not able to demonstrate a significant improvement of BMD in both osteopenic patients with type 2 diabetes on insulin and metformin compared to control. The small number of patients and retrospective nature limit the study. Furthermore, the significantly worse HbA1C values in the combination group suggest that the inability to control the diabetes may have played a role, diminishing improvement in BMD.
In the metformin alone group we were able to demonstrate some improvement in BMD at the right and left femur over time in osteopenic patients with type 2 diabetes compared to control. The exact mechanism by which metformin exerts positive effects on bone is not known. We propose that metformin may promote bone formation by decreasing sclerostin levels, an inhibitor of Wnt/β-catenin pathway. Metformin also protects osteoblasts from the deleterious effects of hyperglycemia and AGEs. Overall, we conclude that these findings may be of clinical significance and should be followed with prospective, randomized and controlled studies.
Acknowledgments
Spencer Conner, Medical Student Research Training Grant Support: Funded by NIH/NIDDK Short-Term Training Grant -T-35- DK-7405-29 and Research Service VAMC, Memphis, TN.
Conflict of Interest
There are no potential conflicts of interest.
Disclaimer
An abstract form was published in connection with the Southern Regional Meeting Feb 2014.
| References | ▴Top |
- Epstein S, Leroith D. Diabetes and fragility fractures - a burgeoning epidemic? Bone. 2008;43(1):3-6.
doi pubmed - Vestergaard P. Discrepancies in bone mineral density and fracture risk in patients with type 1 and type 2 diabetes—a meta-analysis. Osteoporos Int. 2007;18(4):427-444.
doi pubmed - Thrailkill KM, Lumpkin CK, Jr., Bunn RC, Kemp SF, Fowlkes JL. Is insulin an anabolic agent in bone? Dissecting the diabetic bone for clues. Am J Physiol Endocrinol Metab. 2005;289(5):E735-745.
doi pubmed - Iwamoto J, Sato Y, Takeda T, Matsumoto H. Bone quality and vitamin K2 in type 2 diabetes: review of preclinical and clinical studies. Nutr Rev. 2011;69(3):162-167.
doi pubmed - Manolagas SC. From estrogen-centric to aging and oxidative stress: a revised perspective of the pathogenesis of osteoporosis. Endocr Rev. 2010;31(3):266-300.
doi pubmed - Krishnan V, Bryant HU, Macdougald OA. Regulation of bone mass by Wnt signaling. J Clin Invest. 2006;116(5):1202-1209.
- Manolagas SC, Almeida M. Gone with the Wnts: beta-catenin, T-cell factor, forkhead box O, and oxidative stress in age-dependent diseases of bone, lipid, and glucose metabolism. Mol Endocrinol. 2007;21(11):2605-2614.
doi pubmed - Garcia-Martin A, Rozas-Moreno P, Reyes-Garcia R, Morales-Santana S, Garcia-Fontana B, Garcia-Salcedo JA, Munoz-Torres M. Circulating levels of sclerostin are increased in patients with type 2 diabetes mellitus. J Clin Endocrinol Metab. 2012;97(1):234-241.
doi pubmed - van Lierop AH, Hamdy NA, van der Meer RW, Jonker JT, Lamb HJ, Rijzewijk LJ, Diamant M, et al. Distinct effects of pioglitazone and metformin on circulating sclerostin and biochemical markers of bone turnover in men with type 2 diabetes mellitus. Eur J Endocrinol. 2012;166(4):711-716.
doi pubmed - Gao Y, Li Y, Xue J, Jia Y, Hu J. Effect of the anti-diabetic drug metformin on bone mass in ovariectomized rats. Eur J Pharmacol. 2010;635(1-3):231-236.
doi pubmed - Zhen D, Chen Y, Tang X. Metformin reverses the deleterious effects of high glucose on osteoblast function. J Diabetes Complications. 2010;24(5):334-344.
doi pubmed - Mai QG, Zhang ZM, Xu S, Lu M, Zhou RP, Zhao L, Jia CH, et al. Metformin stimulates osteoprotegerin and reduces RANKL expression in osteoblasts and ovariectomized rats. J Cell Biochem. 2011;112(10):2902-2909.
doi pubmed - Ogata N, Chikazu D, Kubota N, Terauchi Y, Tobe K, Azuma Y, Ohta T, et al. Insulin receptor substrate-1 in osteoblast is indispensable for maintaining bone turnover. J Clin Invest. 2000;105(7):935-943.
doi pubmed - Campos Pastor MM, Lopez-Ibarra PJ, Escobar-Jimenez F, Serrano Pardo MD, Garcia-Cervigon AG. Intensive insulin therapy and bone mineral density in type 1 diabetes mellitus: a prospective study. Osteoporos Int. 2000;11(5):455-459.
doi pubmed
This is an open-access article distributed under the terms of the Creative Commons Attribution License, which permits unrestricted use, distribution, and reproduction in any medium, provided the original work is properly cited.
Journal of Endocrinology and Metabolism is published by Elmer Press Inc.
